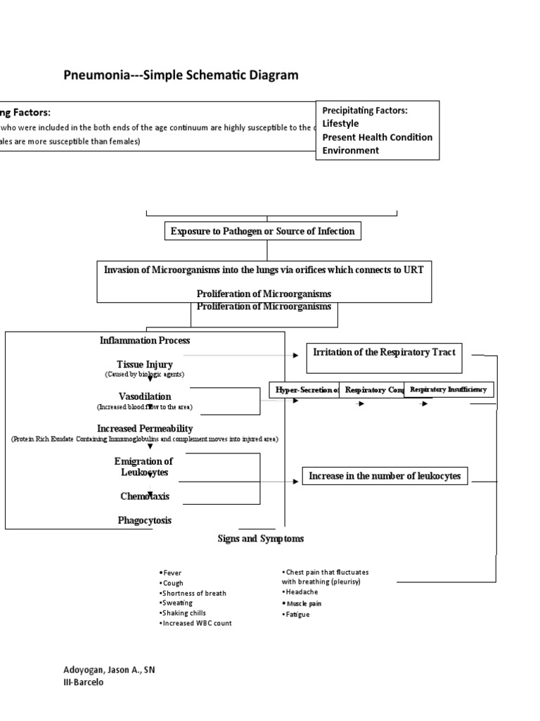
Pathophysiology Of Community Acquired Pneumonia Schematic Diagram - A Longitudinal Modelling Study Estimates Acute Symptoms Of Community Acquired Pneumonia Recover To Baseline By 10 Days European Respiratory Society : 16 183 просмотра 16 тыс.. Home pathophysiology pneumonia pathophysiology & schematic diagram. Pathophysiology and host factors with focus on possible new approaches to management of lower respiratory tract infections. Exposure to chemical and bacterial agents. It may be caused by: Cap is an acute infection of the pulmonary parenchyma with symptom onset in the community.

Cap is an acute infection of the pulmonary parenchyma with symptom onset in the community. Abnormal chest radiograph congestive heart failure with associated viral syndrome. It may be caused by: Validated prediction scores for pneumonia severity can guide the decision between outpatient and inpatient therapy. Pathophysiology pathophysiology of community acquired pneumonia precipitating factor 1.

To Assess The Effectiveness Of Various Communication Strategies For Improving Childhood Pneumonia Case Management Study Protocol Of A Community Based Behavioral Open Labeled Trial In Rural Lucknow Uttar Pradesh India Bmc
To Assess The Effectiveness Of Various Communication Strategies For Improving Childhood Pneumonia Case Management Study Protocol Of A Community Based Behavioral Open Labeled Trial In Rural Lucknow Uttar Pradesh India Bmc from media.springernature.com
Pathophysiology host defences trigger inflammatory response which lead to clinical syndrome of pneumonia inflammatory mediators from macrophages. It occurs outside of hospitals or other health care facilities. This type of pneumonia is found in people who have not recently been in the hospital or another health care facility such as a nursing home or rehab facility. Risk factors include older age and medical comorbidities. The pathophysiology of pneumococcal pneumonia. The most commonly identified pathogens are. Cap is an acute infection of the pulmonary parenchyma with symptom onset in the community. Validated prediction scores for pneumonia severity can guide the decision between outpatient and inpatient therapy.

Pneumonia that is acquired outside of a healthcare establishment.

Pneumonia is a breathing (respiratory) condition in which there is an infection of the lung. Risk factors include older age and medical comorbidities. Cap is the leading cause of death from infection in the united states. Community acquired pneumonia (cap) is an acute infection of lung tissue that develops outside of the hospital setting. Schematic diagram and concept map of image source inhalation pneumonia or aspiration. Pathophysiology host defences trigger inflammatory response which lead to clinical syndrome of pneumonia inflammatory mediators from macrophages. When the infection is acquired outside a hospital, due to contact with an infected individual, one is diagnosed. 16 183 просмотра 16 тыс. Using procalcitonin as a biomarker for severe infection may. Home pathophysiology pneumonia pathophysiology & schematic diagram. Cap (community acquired pneumonia) hap (hospital acquired pneumonia) vap (ventilator associated pneumonia). Exposure to chemical and bacterial agents. Pathophysiology of community acquired pneumonia.

Community acquired pneumonia (cap) can be diagnosed clinically when there are signs of a lower respiratory tract infection and wheezing syndromes have been ruled out. 16 183 просмотра 16 тыс. It occurs outside of hospitals or other health care facilities. This type of pneumonia is found in people who have not recently been in the hospital or another health care facility such as a nursing home or rehab facility. When the infection is acquired outside a hospital, due to contact with an infected individual, one is diagnosed.

Pdf Prognostic Performance Of Mr Pro Adrenomedullin In Patients With Community Acquired Pneumonia In The Emergency Department Compared To Clinical Severity Scores Psi And Curb Semantic Scholar
Pdf Prognostic Performance Of Mr Pro Adrenomedullin In Patients With Community Acquired Pneumonia In The Emergency Department Compared To Clinical Severity Scores Psi And Curb Semantic Scholar from d3i71xaburhd42.cloudfront.net
The most commonly identified pathogens are. Cap is an acute infection of the pulmonary parenchyma with symptom onset in the community. Cap is the leading cause of death from infection in the united states. Using procalcitonin as a biomarker for severe infection may. Home pathophysiology pneumonia pathophysiology & schematic diagram. Exposure to chemical and bacterial agents. Pathophysiology of community acquired pneumonia. It occurs when bacteria enter the alveolar spaces of the lung initiating an inflammatory response which leads to the clinical features of cough, sputum production.

Community acquired pneumonia (cap) is an acute infection of lung tissue that develops outside of the hospital setting.

The most commonly identified pathogens are. Abnormal chest radiograph congestive heart failure with associated viral syndrome. Pathophysiology of community acquired pneumonia. Cap is the leading cause of death from infection in the united states. Community acquired pneumonia (cap) is a leading infectious cause of morbidity and mortality hospital, battipaglia, salerno, italy; Risk factors include older age and medical comorbidities. This type of pneumonia is found in people who have not recently been in the hospital or another health care facility such as a nursing home or rehab facility. Schematic diagram and concept map of image source inhalation pneumonia or aspiration. It may be caused by: Airborne droplets organisms (bacterial, viral) streptococcus pneumonia that contracted by breathing invasion of infection to enters nasal passage. This is the most common form of pneumonia and describes pneumonia that is acquired outside of a hospital the main causes of cap are bacteria, viruses and less commonly fungi. It occurs outside of hospitals or other health care facilities. Pneumonia that is acquired outside of a healthcare establishment.

Pneumonia is a breathing (respiratory) condition in which there is an infection of the lung. Pathophysiology host defences trigger inflammatory response which lead to clinical syndrome of pneumonia inflammatory mediators from macrophages. Cap is the leading cause of death from infection in the united states. It may be caused by: Community acquired pneumonia (cap) is a leading infectious cause of morbidity and mortality hospital, battipaglia, salerno, italy;

Health Care Associated Pneumonia Respiratory Block Ppt Download
Health Care Associated Pneumonia Respiratory Block Ppt Download from slideplayer.com
Schematic diagram and concept map of image source inhalation pneumonia or aspiration. Roles of imaging examinations, imaging diagnosis of specific pathogens and discrimination from noninfectious diseases. Pneumonia is a breathing (respiratory) condition in which there is an infection of the lung. It may be caused by: Exposure to chemical and bacterial agents. The pathophysiology of pneumococcal pneumonia. Cap is an acute infection of the pulmonary parenchyma with symptom onset in the community. The most commonly identified pathogens are.

This type of pneumonia is found in people who have not recently been in the hospital or another health care facility such as a nursing home or rehab facility.

Pathophysiology and host factors with focus on possible new approaches to management of lower respiratory tract infections. It occurs when bacteria enter the alveolar spaces of the lung initiating an inflammatory response which leads to the clinical features of cough, sputum production. It occurs outside of hospitals or other health care facilities. Pathophysiology pathophysiology of community acquired pneumonia precipitating factor 1. Cap is an acute infection of the pulmonary parenchyma with symptom onset in the community. Home pathophysiology pneumonia pathophysiology & schematic diagram. When the infection is acquired outside a hospital, due to contact with an infected individual, one is diagnosed. Airborne droplets organisms (bacterial, viral) streptococcus pneumonia that contracted by breathing invasion of infection to enters nasal passage. Patients who have been hospitalized for other reasons for less than 48 hours before the development of respiratory symptoms are also considered to have. This type of pneumonia is found in people who have not recently been in the hospital or another health care facility such as a nursing home or rehab facility. Community acquired pneumonia (cap) is an acute infection of lung tissue that develops outside of the hospital setting. Risk factors include older age and medical comorbidities. The most common bacterial cause of cap is streptococcus pneumoniae which will be the focus of this tutorial.

By